text Vítajte na našej web stránke MO SRZ Čierna nad Tisou.Adresa-Dukelských hrdinov 139, Čierna nad Tisou, Slovenská republika, 076 43.E-mail mosrzcnt@post.sk Dôležité tel.čísla Hlavný Hospodár MO SRZ Peter TOMORI - 056/6350972, vedúci Rybárskej stráže Zoltán BATTYÁNYI - 0915 425512, 0903 857240
aktualizované: 22.04.2026 19:16:08

MO SRZ     ČIERNA NAD TISOU

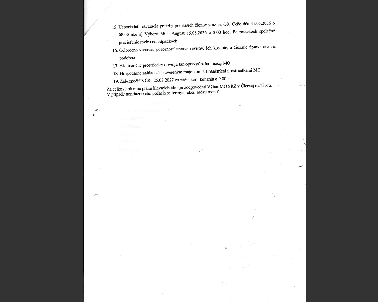
Plán hlavných úloh 2026/ Hospodárenie

Vitajte na stránke mosrzcnt.wbl.sk v sekcii Plán hlavných úloh 2026/ Hospodárenie

Úpravu tohto bloku zahájite dvojklikom...

Kalendář weblight.cz TOPlist

Denný čas lovu rýb . . . . . Na kaprových vodách Január - Február od 07:00 do 17:00 hod. ................ Marec - Apríl od 05.00 do 21.00 hod. ........... Máj - Jún od 04.00 do 24.00 hod. ............... Júl - August - September - Október od 00.00 do 24.00 hod. ...................... November - December od 07.00 do 20.00 hod. . . .
Google